Tribhuvan University
Institute of Science and Technology
TU Exam Year: 2078
Candidates are required to give their answers in their own words as far as practicable.
SECTION A
Attempt all questions.
-
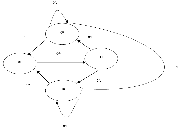
1.
Design the sequential circuit with respect to the following state diagram using J-K Flip flops.

-
2.
Implement F = Σ(0,2,3,4,7) using:
a. Multiplexer
b. Decoder
c. PLA -
3.
Differentiate between synchronous and asynchronous counter. Design mod-7 synchronous counter using T-flip flop. Show necessary truth tables and k-maps.
-
4.
Provide one example where shift right operation can be used. Explain parallel-in-parallel-out register.
-
5.
Carry out the following tasks:
a. Perform 1's complement subtraction of 110101 - 100101
b. Represent decimal number 0.125 into its binary form -
6.
Derive the Boolean expression for sum and carry of half adder. Draw its combinational circuit. Implement it using only NAND gates.
-
7.
Express the Boolean function f = x + yz as a product of max-terms.
-
8.
Minimize the following Boolean function using K-map:
F(A,B,C,D) = Σm(0,1,3,5,7,8,9,11,13,15) -
9.
What are the practical implications of up counter? Explain Binary ripple counter.
-
10.
Design a combinational circuit with three inputs and one output. The output is 1 when the binary value of the inputs is an odd number.
-
11.
Differentiate between PLA and PAL. Explain 4-bit magnitude comparator.
-
12.
Write short notes on (Any Two):
a. Negative Logic
b. CMOS
c. EBCDIC